Temos o orgulho de anunciar a publicação de um importante estudo científico liderado pelo Dr. Daniel Melecchi de Oliveira Freitas, focado em uma nova esperança para pacientes com câncer de próstata de alto risco. O artigo, intitulado “Redução da recorrência do câncer de próstata com nova vacina autóloga contra o câncer (FK-PC101) pós-prostatectomia”, foi publicado no renomado periódico científico Future Science OA.
O estudo avaliou a segurança e a eficácia da vacina FK-PC101, um tratamento imunoterápico personalizado, desenvolvido a partir das células tumorais do próprio paciente. A pesquisa foi conduzida com pacientes de alto risco que já haviam passado pela prostatectomia radical (remoção cirúrgica da próstata).
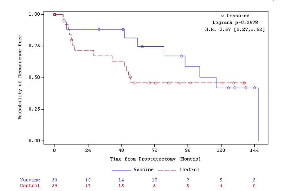
Principais resultados da pesquisa:
Segurança e boa tolerância: A vacina demonstrou ser segura e bem tolerada pelos 23 pacientes que a receberam, com a maioria dos efeitos adversos sendo reações locais leves e passageiras.
Redução significativa na recorrência: Um dos achados mais animadores foi a redução da recorrência bioquímica (aumento do PSA, que indica retorno da doença). Quatro anos após a cirurgia, apenas 11,8% dos pacientes do grupo vacinado apresentaram recorrência, em comparação com 36,8% no grupo controle.
Potencial de controle a longo prazo: Os resultados sugerem que a vacina estimula o sistema imunológico do paciente a combater as células cancerígenas, o que pode contribuir para o controle da doença a longo prazo.
Como primeiro autor do estudo , o Dr. Daniel Melecchi de Oliveira Freitas esteve à frente desta pesquisa, realizada no Hospital de Clínicas de Porto Alegre (HCPA). O trabalho representa um avanço promissor no tratamento adjuvante para o câncer de próstata, oferecendo uma nova perspectiva para evitar a progressão da doença em pacientes com quadros mais agressivos.
Os resultados positivos apoiam a continuidade das pesquisas, e um estudo randomizado de fase 2 já está sendo planejado para validar estas descobertas.
Para conhecer todos os detalhes desta pesquisa inovadora, convidamos você a ler o artigo completo CLICANDO AQUI

